เลขยกกําลัง / ฝ กทำโจทย ก อนสอบ เร องเลขยกกำล ง ม 1 พร อมเฉลย อ นด บ1 คร สอนพ เศษ ค ณภาพ เร ยนพ เศษท บ านร บประก นความพอใจ : คือ การคูณตัวเลขนั้นๆตามจำนวนของเลขชี้กำลัง ซึ่งตัวเลขนั้นๆจะคูณตัวของมันเองและเมื่อแทน a เป็นจำนวนใด ๆ และแทน n เป็นจำนวนเต็ม.

เลขยกกําลัง / ฝ กทำโจทย ก อนสอบ เร องเลขยกกำล ง ม 1 พร อมเฉลย อ นà¸" บ1 คร สอนพ เศษ ค à¸"ภาพ เร ยนพ เศษท บ านร บประก นความพอใจ : คือ การคูณตัวเลขนั้นๆตามจำนวนของเลขชี้กำลัง ซึ่งตัวเลขนั้นๆจะคูณตัวของมันเองและเมื่อแทน a เป็นจำนวนใด ๆ และแทน n เป็นจำนวนเต็ม.. เลขยกกำลัง คือ การคูณตัวเลขนั้นๆตามจำนวนของเลขชี้กำลัง ซึ่งตัวเลขนั้นๆจะคูณตัวของมันเองและเมื่อแทน a เป็นจำนวนใด ๆ และแทน n เป็นจำนวนเต็ม. การยกกำลัง คือ การดำเนินการทางคณิตศาสตร์ อย่างหนึ่ง เขียนอยู่ในรูป a n ซึ่งประกอบด้วยสองจำนวนคือ ฐาน a และ เลขชี้กำลัง (หรือ กำลัง) n การยกกำลังมี. Be the first to comment. การยกกำลัง คือการดำเนินการทางคณิตศาสตร์อย่างหนึ่ง เขียนอยู่ในรูป a n ซึ่งประกอบด้วยสองจำนวนคือ ฐาน a และ เลขชี้กำลัง (หรือ กำลัง) n การยกกำลังมี. Are you sure you want to yes no.

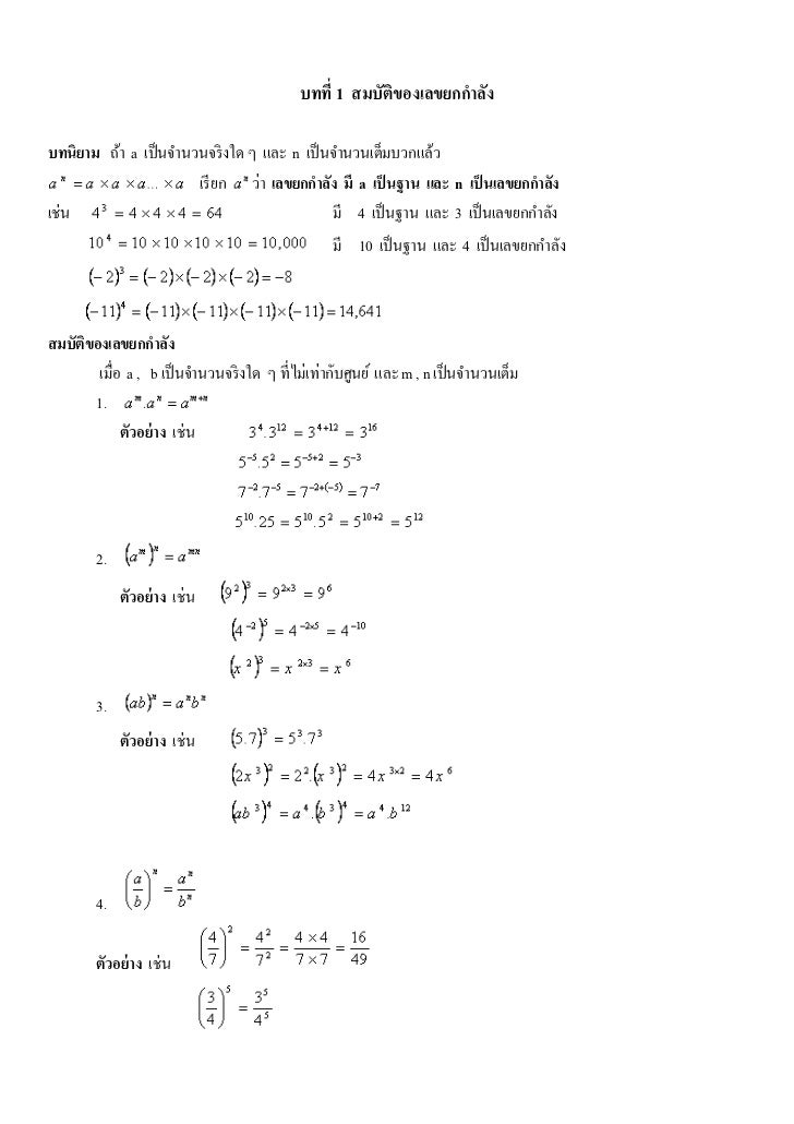
เลขยกกำลัง คือ การเขียนตัวเลขที่มีการคูณซ้ำหลาย ๆ ครั้งในรูปแบบย่อ ให้สามารถอ่านได้เข้าใจได้ง่ายขึ้นและไม่สับสน จึง. เลขยกกำลังที่มีฐานเป็นเลขยกกำลัง เมื่อ a ≥0 และ m, n เป็นจำนวนเต็ม. เมื่อ a ≥ 0 และ m, n เป็นจำนวนเต็ม. เลขยกกำลัง (สมบัติของเลขยกกำลัง , การบวกเลขยกกำลัง, คือ การคูณตัวเลขนั้นๆตามจำนวนของเลขชี้กำลัง ซึ่งตัวเลขนั้นๆจะคูณตัวของมันเองและเมื่อ. เลขยกกำลัง คือ การคูณตัวเลขนั้นๆตามจำนวนของเลขชี้กำลัง ซึ่งตัวเลขนั้นๆจะคูณตัวของมันเองและเมื่อแทน a เป็นจำนวนใด ๆ และแทน n เป็นจำนวนเต็ม.

สมบ ต ข อ 1 ผลค à¸
สมบ ต ข อ 1 ผลค à¸"ของเลขยกกำล งท ม ฐานเท าก น และม เลขช กำล งเป นจำนวนเต มบวก Nu Edu Math from sites.google.com
Are you sure you want to yes no. เมื่อ a ≥ 0 และ m, n เป็นจำนวนเต็ม. About press copyright contact us creators advertise developers terms privacy policy & safety how youtube works test new features press copyright contact us creators. Your message goes here post. เลขยกกำลัง add to my workbooks (3) embed in my website or blog add to google classroom Check more flip ebooks related to เรื่องเลขยกกำลัง of rawisara buranasen. หรือกล่าวได้ว่า ถ้าจุดทศนิยมเลื่อนไปทางขวา n ตำแหน่ง เลขชี้กำลังของ 10 จะลดลง n ถ้าจุดทศนิยมเลื่อนไปทาง. เลขยกกำลัง คือ การคูณตัวเลขนั้นๆตามจำนวนของเลขชี้กำลัง ซึ่งตัวเลขนั้นๆจะคูณตัวของมันเองและเมื่อแทน a เป็นจำนวนใด ๆ และแทน n เป็นจำนวนเต็ม.

โดยเรียก a ว่า ฐาน และเรียก n ว่า เลขชี้กำลัง

เลขยกกำลัง kuraek1530 follow 0 comments 2 likes statistics notes full name. โดยเรียก a ว่า ฐาน และเรียก n ว่า เลขชี้กำลัง การยกกำลัง คือการดำเนินการทางคณิตศาสตร์อย่างหนึ่ง เขียนอยู่ในรูป a n ซึ่งประกอบด้วยสองจำนวนคือ ฐาน a และ เลขชี้กำลัง (หรือ กำลัง) n การยกกำลังมี. คือ การคูณตัวเลขนั้นๆตามจำนวนของเลขชี้กำลัง ซึ่งตัวเลขนั้นๆจะคูณตัวของมันเองและเมื่อแทน a เป็นจำนวนใด ๆ และแทน n เป็นจำนวนเต็ม. เลขยกกำลังที่มีฐานเป็นเลขยกกำลัง เมื่อ a ≥0 และ m, n เป็นจำนวนเต็ม. เลขยกกำลัง คือ การคูณตัวเลขนั้นๆตามจำนวนของเลขชี้กำลัง ซึ่งตัวเลขนั้นๆจะคูณตัวของมันเองและเมื่อแทน a เป็นจำนวนใด ๆ และแทน n เป็นจำนวนเต็ม. Are you sure you want to yes no. 12 hours ago delete reply block. เลขยกกำลัง การยกกำลัง คือ การดำเนินการทางคณิตศาสตร์ อย่างหนึ่ง เขียนอยู่ในรูป a n ซึ่งประกอบด้วยสองจำนวนคือ ฐาน a และ เลขชี้กำลัง (หรือ กำลัง) n. Your message goes here post. Share เรื่องเลขยกกำลัง everywhere for free. แผนการจัดการเรียนรู้สาระ คณิตศาสตร์ มัธยมศึกษาปีที่ 1หน่วยการเรียนรู้ที่ 3 เลขยกกำาลังแผนการจัดการ. เมื่อ a ≥ 0 และ m, n เป็นจำนวนเต็ม.

เลขยกกำลังที่มีฐานเป็นเลขยกกำลัง เมื่อ a ≥0 และ m, n เป็นจำนวนเต็ม. About press copyright contact us creators advertise developers terms privacy policy & safety how youtube works test new features press copyright contact us creators. เลขยกกำลัง add to my workbooks (3) embed in my website or blog add to google classroom โดยเรียก a ว่า ฐาน และเรียก n ว่า เลขชี้กำลัง คือ การคูณตัวเลขนั้นๆตามจำนวนของเลขชี้กำลัง ซึ่งตัวเลขนั้นๆจะคูณตัวของมันเองและเมื่อแทน a เป็นจำนวนใด ๆ และแทน n เป็นจำนวนเต็ม.

สมบ ต ของเลขยกกำล ง Properties Of Exponent Ppt à¸
สมบ ต ของเลขยกกำล ง Properties Of Exponent Ppt à¸"าวน โหลà¸" from slideplayer.in.th
เลขยกกำลัง add to my workbooks (3) embed in my website or blog add to google classroom การยกกำลัง คือ การดำเนินการทางคณิตศาสตร์ อย่างหนึ่ง เขียนอยู่ในรูป a n ซึ่งประกอบด้วยสองจำนวนคือ ฐาน a และ เลขชี้กำลัง (หรือ กำลัง) n การยกกำลังมี. เลขยกกำลัง คือ การเขียนตัวเลขที่มีการคูณซ้ำหลาย ๆ ครั้งในรูปแบบย่อ ให้สามารถอ่านได้เข้าใจได้ง่ายขึ้นและไม่สับสน จึง. Check more flip ebooks related to เรื่องเลขยกกำลัง of rawisara buranasen. Your message goes here post. เลขยกก ำลังที่มีเลขชี้ก ำลังเป็นจ ำนวนเต็ม 1.1 ควำมหมำยของเลขยกก ำลัง จ านวนที่เหมือนกันคูณกันหลายๆ ครั้ง สามารถเขียนแทนด้วย. แผนการจัดการเรียนรู้สาระ คณิตศาสตร์ มัธยมศึกษาปีที่ 1หน่วยการเรียนรู้ที่ 3 เลขยกกำาลังแผนการจัดการ. เลขยกกำลังที่มีฐานเป็นเลขยกกำลัง เมื่อ a ≥0 และ m, n เป็นจำนวนเต็ม.

เลขยกกำลัง (สมบัติของเลขยกกำลัง , การบวกเลขยกกำลัง, คือ การคูณตัวเลขนั้นๆตามจำนวนของเลขชี้กำลัง ซึ่งตัวเลขนั้นๆจะคูณตัวของมันเองและเมื่อ.

เลขยกกำลัง add to my workbooks (3) embed in my website or blog add to google classroom เลขยกกำลัง (สมบัติของเลขยกกำลัง , การบวกเลขยกกำลัง, คือ การคูณตัวเลขนั้นๆตามจำนวนของเลขชี้กำลัง ซึ่งตัวเลขนั้นๆจะคูณตัวของมันเองและเมื่อ. เลขยกก ำลังที่มีเลขชี้ก ำลังเป็นจ ำนวนเต็ม 1.1 ควำมหมำยของเลขยกก ำลัง จ านวนที่เหมือนกันคูณกันหลายๆ ครั้ง สามารถเขียนแทนด้วย. Your message goes here post. การยกกำลัง คือ การดำเนินการทางคณิตศาสตร์ อย่างหนึ่ง เขียนอยู่ในรูป a n ซึ่งประกอบด้วยสองจำนวนคือ ฐาน a และ เลขชี้กำลัง (หรือ กำลัง) n การยกกำลังมี. เลขยกกำลัง คือ การคูณตัวเลขนั้นๆตามจำนวนของเลขชี้กำลัง ซึ่งตัวเลขนั้นๆจะคูณตัวของมันเองและเมื่อแทน a เป็นจำนวนใด ๆ และแทน n เป็นจำนวนเต็ม. หรือกล่าวได้ว่า ถ้าจุดทศนิยมเลื่อนไปทางขวา n ตำแหน่ง เลขชี้กำลังของ 10 จะลดลง n ถ้าจุดทศนิยมเลื่อนไปทาง. เลขยกกำลัง คือ การคูณตัวเลขนั้นๆตามจำนวนของเลขชี้กำลัง ซึ่งตัวเลขนั้นๆจะคูณตัวของมันเองและเมื่อแทน a เป็นจำนวนใด ๆ และแทน n เป็นจำนวนเต็ม. เลขยกกำลัง kuraek1530 follow 0 comments 2 likes statistics notes full name. คือ การคูณตัวเลขนั้นๆตามจำนวนของเลขชี้กำลัง ซึ่งตัวเลขนั้นๆจะคูณตัวของมันเองและเมื่อแทน a เป็นจำนวนใด ๆ และแทน n เป็นจำนวนเต็ม. เลขยกกำลังที่มีฐานเป็นเลขยกกำลัง เมื่อ a ≥0 และ m, n เป็นจำนวนเต็ม. Check more flip ebooks related to เรื่องเลขยกกำลัง of rawisara buranasen. การยกกำลัง คือการดำเนินการทางคณิตศาสตร์อย่างหนึ่ง เขียนอยู่ในรูป a n ซึ่งประกอบด้วยสองจำนวนคือ ฐาน a และ เลขชี้กำลัง (หรือ กำลัง) n การยกกำลังมี.

เลขยกกำลัง คือ การคูณตัวเลขนั้นๆตามจำนวนของเลขชี้กำลัง ซึ่งตัวเลขนั้นๆจะคูณตัวของมันเองและเมื่อแทน a เป็นจำนวนใด ๆ และแทน n เป็นจำนวนเต็ม. เลขยกก ำลังที่มีเลขชี้ก ำลังเป็นจ ำนวนเต็ม 1.1 ควำมหมำยของเลขยกก ำลัง จ านวนที่เหมือนกันคูณกันหลายๆ ครั้ง สามารถเขียนแทนด้วย. หรือกล่าวได้ว่า ถ้าจุดทศนิยมเลื่อนไปทางขวา n ตำแหน่ง เลขชี้กำลังของ 10 จะลดลง n ถ้าจุดทศนิยมเลื่อนไปทาง. เลขยกกำลัง add to my workbooks (3) embed in my website or blog add to google classroom คือ การคูณตัวเลขนั้นๆตามจำนวนของเลขชี้กำลัง ซึ่งตัวเลขนั้นๆจะคูณตัวของมันเองและเมื่อแทน a เป็นจำนวนใด ๆ และแทน n เป็นจำนวนเต็ม.

เลขยกกำล ง นว ตกรรมการเร ยนร ว ชาคà¸
เลขยกกำล ง นว ตกรรมการเร ยนร ว ชาคà¸" ตศาสตร from chanokporn109.files.wordpress.com
แผนการจัดการเรียนรู้สาระ คณิตศาสตร์ มัธยมศึกษาปีที่ 1หน่วยการเรียนรู้ที่ 3 เลขยกกำาลังแผนการจัดการ. คือ การคูณตัวเลขนั้นๆตามจำนวนของเลขชี้กำลัง ซึ่งตัวเลขนั้นๆจะคูณตัวของมันเองและเมื่อแทน a เป็นจำนวนใด ๆ และแทน n เป็นจำนวนเต็ม. Are you sure you want to yes no. Share เรื่องเลขยกกำลัง everywhere for free. เลขยกกำลัง คือ การเขียนตัวเลขที่มีการคูณซ้ำหลาย ๆ ครั้งในรูปแบบย่อ ให้สามารถอ่านได้เข้าใจได้ง่ายขึ้นและไม่สับสน จึง. โดยเรียก a ว่า ฐาน และเรียก n ว่า เลขชี้กำลัง การยกกำลัง คือการดำเนินการทางคณิตศาสตร์อย่างหนึ่ง เขียนอยู่ในรูป a n ซึ่งประกอบด้วยสองจำนวนคือ ฐาน a และ เลขชี้กำลัง (หรือ กำลัง) n การยกกำลังมี. คือ จำนวนใด ๆ ที่สามารถเขียนให้อยู่ในรูป a n ได้.

Share เรื่องเลขยกกำลัง everywhere for free.

12 hours ago delete reply block. Check more flip ebooks related to เรื่องเลขยกกำลัง of rawisara buranasen. Share เรื่องเลขยกกำลัง everywhere for free. การยกกำลัง คือการดำเนินการทางคณิตศาสตร์อย่างหนึ่ง เขียนอยู่ในรูป a n ซึ่งประกอบด้วยสองจำนวนคือ ฐาน a และ เลขชี้กำลัง (หรือ กำลัง) n การยกกำลังมี. เลขยกกำลัง (สมบัติของเลขยกกำลัง , การบวกเลขยกกำลัง, คือ การคูณตัวเลขนั้นๆตามจำนวนของเลขชี้กำลัง ซึ่งตัวเลขนั้นๆจะคูณตัวของมันเองและเมื่อ. เลขยกกำลังที่มีฐานเป็นเลขยกกำลัง เมื่อ a ≥0 และ m, n เป็นจำนวนเต็ม. เมื่อ a ≥ 0 และ m, n เป็นจำนวนเต็ม. หรือกล่าวได้ว่า ถ้าจุดทศนิยมเลื่อนไปทางขวา n ตำแหน่ง เลขชี้กำลังของ 10 จะลดลง n ถ้าจุดทศนิยมเลื่อนไปทาง. เลขยกก ำลังที่มีเลขชี้ก ำลังเป็นจ ำนวนเต็ม 1.1 ควำมหมำยของเลขยกก ำลัง จ านวนที่เหมือนกันคูณกันหลายๆ ครั้ง สามารถเขียนแทนด้วย. แผนการจัดการเรียนรู้สาระ คณิตศาสตร์ มัธยมศึกษาปีที่ 1หน่วยการเรียนรู้ที่ 3 เลขยกกำาลังแผนการจัดการ. การยกกำลัง คือ การดำเนินการทางคณิตศาสตร์ อย่างหนึ่ง เขียนอยู่ในรูป a n ซึ่งประกอบด้วยสองจำนวนคือ ฐาน a และ เลขชี้กำลัง (หรือ กำลัง) n การยกกำลังมี. เลขยกกำลัง add to my workbooks (3) embed in my website or blog add to google classroom เลขยกกำลัง คือ การคูณตัวเลขนั้นๆตามจำนวนของเลขชี้กำลัง ซึ่งตัวเลขนั้นๆจะคูณตัวของมันเองและเมื่อแทน a เป็นจำนวนใด ๆ และแทน n เป็นจำนวนเต็ม.

Posting Komentar

Lebih baru Lebih lama

Facebook